






![]()
南方TD管道循環泵
南方污泥回流泵TD125-14/4SWHC 冷卻/空調水單級立式管道循環泵
應用領域:
工業系統、供水系統、冷卻和空調系統、系統增壓
材質:
鑄鐵、雙相鋼
產品說明:
單級立式管道循環泵,泵進出水口在泵底同一直線上,產品設計為頂部可拉出的拆裝形式,其可以在不影響管路系統的情況下對泵進行維修。
性能及優點:
結構緊湊、維護方便、噪音低、可選配鑄鐵或不銹鋼葉輪
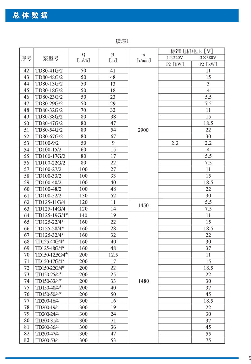
技術參數:
流量:4m3/h~1200m3/h
揚程:4.5m~108m
功率:1.1kW~200kW
液體溫度:-15℃~+110℃
頻率:50Hz/60Hz






如有需要請聯系秦小姐:17821420726(微信同號)

秦玲玲 客戶經理
17821420726
地址:上海市閔行區光華路188號3號廠房
電話:021-64890289
郵箱:sales@kuosi.com.cn
傳真:021-51686350
網址:www.fxlaser.cn
